近日,南方科技大学力学与航空航天工程系讲席教授夏克青团队与同济大学教授钟锦强团队协同合作,在旋涡运动演化的研究课题中取得新进展。研究成果以“旋转热对流中旋涡的反离心集群运动(Inverse centrifugal effect induced bycollective motion of vortices in rotatingthermal convection)”为题发表在《自然˙通讯》(Nature Communications)上。
在旋转介质中物体受到离(向)心力的作用,受力方向取决于其密度的大小——密度较小的物体向旋转中心靠拢,密度较大的物体则远离旋转中心运动;如果物体的密度与介质相当,则物体受到的离心力与介质内部的静压力相互平衡,离心效应不显现。从天体运动到环形加速器中的高能粒子,离心效应与许多的自然科学现象息息相关。
研究团队在精密调控的旋转平台上观测旋涡运动的规律。在旋转热对流体系,热(冷)旋涡由于其密度低(高)于背景流体的密度,在离心作用下发生径向运动。当旋转效应显著,旋涡处于密集分布的状态时,研究人员发现旋涡呈现出人意料的反离心运动——密度较小的热涡逐渐远离旋转中心向外运动,最终聚集并消失在流体层的边壁附近。 这个看似违背基本离心运动规律的反常现象引起了研究人员强烈的兴趣。研究表明,当旋涡运动处于反常状态时,背景流体由于旋转的作用呈现明显的外冷内热的温度分布。这样的背景温度分布导致了流体内部冷、热旋涡在涡量场上对称性的破缺:即冷涡由于其与背景流体较大的温差而受到较强的浮力作用,导致它们在平均涡量强度和数量上都超过了热涡(图1a)。旋涡强度的不对称性为理解旋涡的反常运动提供了重要的依据。 这个看似违背基本离心运动规律的反常现象引起了研究人员强烈的兴趣。研究表明,当旋涡运动处于反常状态时,背景流体由于旋转的作用呈现明显的外冷内热的温度分布。这样的背景温度分布导致了流体内部冷、热旋涡在涡量场上对称性的破缺:即冷涡由于其与背景流体较大的温差而受到较强的浮力作用,导致它们在平均涡量强度和数量上都超过了热涡(图1a)。旋涡强度的不对称性为理解旋涡的反常运动提供了重要的依据。
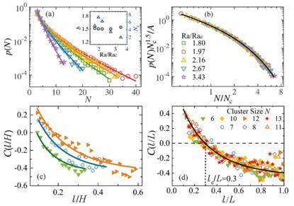
旋涡是自然界中流体非常普遍的运动形态。“涡旋是流体运动的肌腱”,理解旋涡的运动规律对于我们理解流体整体的运动演化至关重要。在湍流与旋转流体领域,前人对旋涡已有的研究主要集中于对孤立旋涡动力学的探讨。研究团队从集群运动角度,对多个旋涡的运动关联进行了深入的分析。研究发现:(i)团块中旋涡数量服从具有指数截止的幂函数分布,其幂次为-3/2;(ii)在同一个团块中,旋涡运动的相对速度关联随间距的增大以拉伸指数函数的形式衰减;对于不同大小的旋涡团块,旋涡运动的关联长度都等于团块尺度本身的30%(图2)。这些统计结果也是众多远离平衡态系统(包括鱼群、鸟群、细菌以及活性物质等)中密集分布的个体发生集群运动时所表现出来的共同规律。研究工作基于旋涡间流体相互作用机制,从统计力学的角度,为揭示密集旋涡的运动演化普遍规律提供了新的途径。 在《自然˙通讯》的评审过程中,审稿人对这一研究工作做出了高度评价,认为“研究和分析是独创的、新颖的、科学合理的,将引起广泛的兴趣”;“这项研究的意义超出了流体力学的范畴,从统计物理和流体力学提出的新观点将很大程度上丰富我们对许多自然系统中集群运动的理解与认识”。 同济大学团队负责完成了课题组的实验测量工作,南方科技大学团队承担了课题中大规模的数值模拟计算工作。同济大学博士毕业生丁姗姗与香港中文大学博士毕业生庄启亮为论文共同第一作者。夏克青和钟锦强为论文共同通讯作者。该研究获得了国家自然科学基金面上项目、国际合作与交流项目以及香港研究资助局的资助。 论文链接: 第一篇:https://www.nature.com/articles/s41467-021-25838-3 供稿:力学与航空航天工程系 通讯员:朱学良 主图:丘妍 编辑:朱增光
