近日,南方科技大学物理系和量子科学与工程研究院教授卢海舟课题组在三维高阶拓扑绝缘体的拓扑稳定性方面取得进展,并在美国物理学会《物理评论快报》(Physical Review Letters)上发表了相关研究成果。
2005年,物理研究学者Kane和Mele提出了有关石墨烯体系的量子自旋霍尔效应理论方案。该方案吸引了一大批凝聚态物理学者对拓扑物相进行研究。在接下来的十几年间,研究人员通过理论或实验相继发现了三维拓扑绝缘体、外耳半金属、反常霍尔效应等一系列新奇拓扑物相。Kane和Mele也因此项工作拿到了一系列奖项,拓扑物相研究的兴起更是让早期从事拓扑物相理论研究的物理学者Thouless, Haldane以及Kosterlitz荣获了2016年的诺贝尔物理学奖。 2017年,Bernevig等研究学者在Science上发表文章,将拓扑物相的概念进行扩展,提出了高阶拓扑绝缘体的概念。跟传统的拓扑相对比,三维高阶拓扑绝缘体的体态拓扑并不能保证面内激发是无能隙的,但是可以保证更低一维度的楞上激发是无能隙的态(图1)。虽然这种概念很吸引人,但迄今为止,很少有实验能在真正的材料体系中观测到高阶拓扑物相存在的迹象,只有在一些人工构造的光晶格和声学体系中可以找到高阶拓扑物相存在的证据。这究竟是什么原因造成的呢?一种可能是这种高阶拓扑并不像一阶拓扑那样,可以抵抗材料体系的无序和电子与电子间的库仑作用。
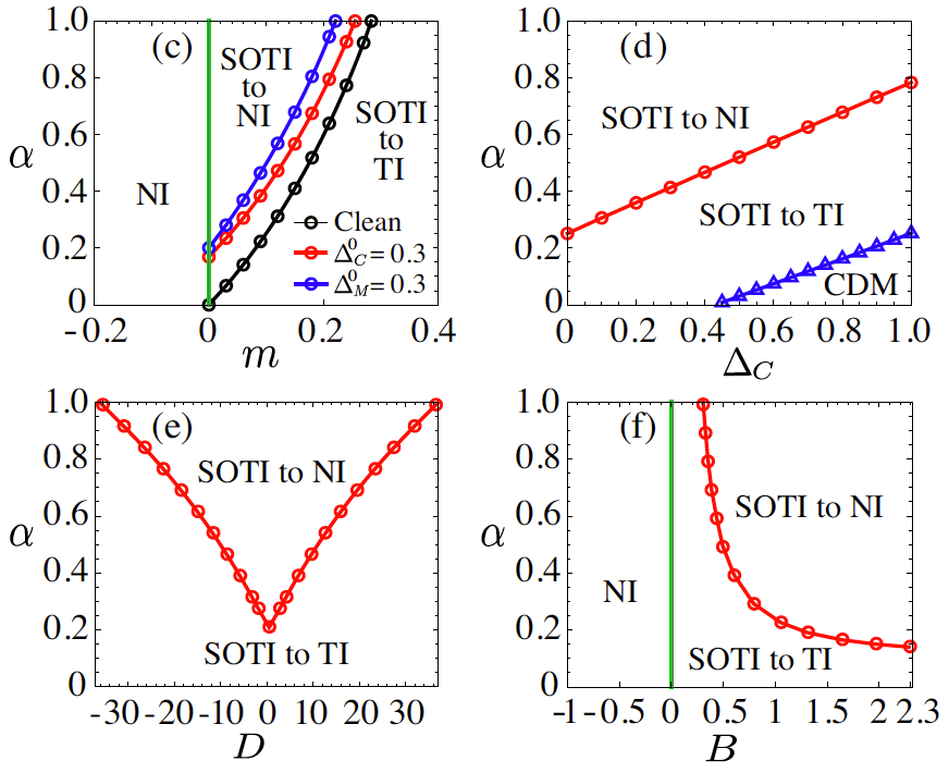
为了研究高阶拓扑绝缘体在库仑作用下是否还能稳定存在的问题,卢海舟团队首次以理论研究的角度进行了解答。他们在一个广泛接受的三维高阶拓扑绝缘体模型上引入库仑相互作用,并通过系统的重整化群计算,得到库仑相互作用对决定拓扑不变量相关参数的重整化效应。研究团队在对决定拓扑不变量相关参数的低能行为进行分析后发现,尽管模型的出发点是一个高阶拓扑绝缘体,但当存在库仑相互作用时,该高阶拓扑绝缘体总是不稳定的,在低能下要么转变成一阶拓扑绝缘体,要么转变成正常绝缘体。与此同时,他们还发现,在转变为一阶拓扑绝缘体时,体材料表面的能隙会闭合,并伴随着演生(emergent)的时间反演和空间反射对称性;在转变为正常拓扑绝缘体时,体材料能隙会先闭合再打开,相变点会出现一些新奇的量子临界性。最后,研究团队得到了一些在库仑相互作用下产生的相图(图2)。
该理论首次研究了高阶拓扑绝缘体在相互作用下的拓扑稳定性问题。越来越多的高阶拓扑物相也被相继提出,这将会引起更多的后续理论和实验研究工作。 该理论文章的第一作者为南科大物理系博士后赵鹏露,通讯作者为卢海舟,合作者还包括北京大学讲席讲授、中国科学院院士谢心澄以及南科大物理系硕士生强晓斌。南科大是论文第一单位。以上研究得到国家自然科学基金、广东省普通高校创新团队、深圳市科创委的资助。数值计算得到南科大科学与工程计算中心支持。 论文链接:https://journals.aps.org/prl/abstract/10.1103/PhysRevLett.127.176601 供稿:物理系 通讯员:许馨文 主图:丘妍 编辑:朱增光

